Parallel Algorithms¶
约 435 个字 38 行代码 12 张图片 预计阅读时间 3 分钟
- Machine parallelism
- Processor parallelism
- Pipelining
- Very-Long Instruction Word (VLIW)
- Parallel algorithms
Parallel Random Access Machine (PRAM)¶

处理内存冲突
- Exclusive-Read Exclusive-Write (EREW) 独占式写入和读取
- Concurrent-Read Exclusive-Write (CREW) 可以并发读,独占写
- Concurrent-Read Concurrent-Write (CRCW) 都可以并发
- Common rule 所有处理器都写同样的值
- Arbitrary rule 同时写,可能有一个写成功
- Priority rule 有优先级
例子:加法¶

| C | |
|---|---|
1 2 3 4 5 6 7 8 | |

Work-Depth (WD)¶
| C | |
|---|---|
1 2 3 4 5 6 7 | |

Measuring the performance
- Work load -- total number of operations: \(W(n)\)
- Worst-case running time:\(T(n)\)
- \(W(n)\) operations and \(T(n)\) time
- \(P(n) = W(n) / T(n)\) processors and \(T(n)\) time (on a PRAM)
- \(W(n)/p\) time using any number of \(p \leq W(n) /T(n)\)processors (on a PRAM)
- \(W(n)/p + T(n)\) time using any number of \(p\) processors (on a PRAM)

Note
WD-presentation Sufficiency Theorem: An algorithm in the WD mode can be implemented by any \(P(n)\) processors within \(O(W(n)/P(n) + T(n))\) time, using the same concurrent-write convention as in the WD presentation.
例子:前缀和¶

| C | |
|---|---|
1 2 3 4 5 6 7 8 9 10 11 12 13 14 | |
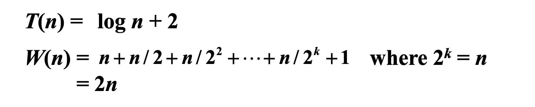
\[T(n) = O(\log n) \]
\[W(n) = O(n) \]
例子:两个有序数组的合并¶
Merging – merge two non-decreasing arrays \(A(1), A(2), …, A(n)\) and \(B(1), B(2), …, B(m)\) into another non-decreasing array \(C(1), C(2), …, C(n+m)\)
思想:找出A数组每一个元素在C数组中对应的位置,然后一步将A和B的元素都搬过去。

那么如何排序?

如何优化?

第一步是将其分割,此时\(T(n)=O(\log n)\),\(W(n)=O(n)\)。第二步是排序小块,此时\(T(n)=O(\log n)\),\(W(n)=O(n)\)。所以总步骤是\(T(n)=O(\log n)\),\(W(n)=O(n)\)。
例子:Maximum finding¶
- Replace “+” by “max” in the summation algorithm, \(T(n)=O(\log n)\),\(W(n)=O(n)\)
- Compare all pairs
| C | |
|---|---|
1 2 3 4 5 6 7 8 9 | |
\[
T(n)=O(1), W(n)=O(n^2)
\]
接下来将几种优化工作量方法:
A Doubly-logarithmic Paradigm¶
按照\(\sqrt n\)来分组:

按照\(h = \log \log n\)来分组:

Random Sampling¶
